400-003-8066

麻豆影院91性欲案例分析

您所在的位置: 首页 > 资讯频道 > 设计规范 > 剧场强奸乱伦麻豆 > 室内混响时间测量规范 GB/T50076-2013

室内混响时间测量规范 GB/T50076-2013

来源:ZOBO麻豆影院91性欲 发布日期 2023-04-27 浏览:

  因篇幅有限请到资料下载   下载完整文件。

  还可以了解更多关于会议室解决方案、产品和案例 等信息。

  还可以了解更多关于麻豆传播媒体APP大全免费版场馆解决方案、产品和案例 等信息。

  还可以了解更多关于剧场强奸乱伦麻豆解决方案、产品和案例 等信息。

还可以了解更多关于学校教育   解决方案、产品和案例   等信息。



1 总 则

1.0.1 为了测量厅堂及各类房间的室内混响时间,制定本规范。

1.0.2 本规范适用于语言、演出或音乐用房间,需要吸声降噪的房间,以及有特殊音质要求的居住类建筑的房间的混响时间的测量。本规范不适用于声学实验室等特殊房间的混响时间的测量。本规范不适用于房间三维尺度中最大尺寸与最小尺寸之比大于5的特殊室内空间和任一维度尺寸小于测量频率半波长的房间的混响时间的测量。

1.0.3 室内混响时间的测量,除应符合本规范外,尚应符合国家现行有关标准的规定。

.

2 术语和符号


2.1 术 语

2.1.1 衰变曲线 decay curve
    声源发声待室内声场达到稳态后,声源中断发声,室内某点声压级随时间衰变的曲线,可使用中断声源法或脉冲响应积分法测得。

2.1.2 混响时间 reverberation time
    室内声音已达到稳态后停止声源,平均声能密度自原始值衰变到其百万分之一(60dB)所需要的时间,单位:s。可通过衰变过程的(-5~-25)dB或(-5~-35)dB取值范围作线性外推来获得声压级衰变60dB的混响时间,分别记作T20和T30。

2.1.3 中断声源法 interrupted noise method
    激励房间的窄带噪声或粉红噪声声源中断发声后,直接记录声压级的衰变来获取衰变曲线的方法。

2.1.4 脉冲响应 impulse response
    房间内某一点发出的狄拉克(Dirac)函数脉冲声在另一点形成的声压瞬时状况。

2.1.5 脉冲响应积分法 integrated impulse response method
    通过把脉冲响应的平方对时间反向积分来获取衰变曲线的方法。

2.1.6 空场 unoccupied state
    讲演者、演员和观众均不在场的房间情况。

2.1.7 排演 studio state
    语言或音乐用房内无观众,只有演员、讲演者和少量观摩人员在场的情况,为正式演出而进行的练习表演。

2.1.8 满场 occupied state
    观众上座率达80%~100%时,处于正常表演或正常使用的情况。

2.2 符 号

    dmin——传声器距声源最小距离,m;
    V——房间容积,m³;
    c——声速,m/s;
    T——估计的混响时间,s;
    p——脉冲响应声压;
    T1——脉冲响应声压级曲线高于背景噪声基线15dB处的时刻;
    t1——背景噪声基线和脉冲响应声压级衰变曲线交点处的时刻;
    C——去除噪声干扰的真实脉冲响应平方值从无穷大到t1的积分。

.

3 测量系统


3.1 室内环境

3.1.1 作为室内音质评价或声学施工验收而进行测量时,房间应处于正常使用条件下,主要设施应就位。
    强奸乱伦麻豆类大型厅堂,舞台和观众厅之间存在防火幕时,应在防火幕升起状态进行测量,防火幕无法升起时,应在测量报告中对防火幕状态进行说明。
    带有升降乐池的演出厅堂,应在测量报告中对乐池的状态和乐池内装修状态进行说明。

3.1.2 作为施工期间进行的中后期测量,应在测量报告中详细描述室内装修和陈设状况。

3.1.3 室内背景噪声应满足测量要求。测量期间存在偶发噪声时,应在每次测量后立即观察衰变曲线,并应确定衰变是否受噪声影响。衰变期间受到偶发噪声影响的测量结果应舍弃。

3.1.4 当室内因具有不同使用功能而采用可调混响设计时,应分别测量不同使用功能条件下的混响时间。

3.1.5 室内相对湿度大于90%时,应停止测量。游泳馆等正常使用时高潮湿的环境可不停止测量。

3.1.6 测量期间应保证室内相对湿度和温度的稳定。当相对湿度变化超过±10%,温度变化超过±2℃时,应停止测量。相对湿度和温度的测量精确度应分别达到±5%和±1℃。

3.2 中断声源法的声源

3.2.1 声源应为无指向性声源。指向性和频率特性应符合国家标准《声学 建筑和建筑构件隔声测量 第3部分:建筑构件空气声隔声的实验室测量》GB/T 19889.3-2005中第C.1.3条的规定。

3.2.2 测量过程中不得使用电火花、刺破气球、发令枪等突发声音作为中断声源法的声源;不得使用无法立即中断的声源。

3.2.3 声源的噪声信号应采用窄带噪声或粉红噪声,在声压级满足测量要求时,宜采用粉红噪声信号。

3.2.4 测量在使用电声系统作为声源条件下的室内混响时间时,可使用室内现有的扩声系统作为替代测量声源。

3.3 脉冲响应积分法的声源

3.3.1 脉冲声源应使用突发声音。在测量频率范围内,传声器位置上脉冲声源产生的峰值声压级应至少高于相应频段内背景噪声45dB;测量T20时,则应至少高于相应频段内背景噪声35dB。

3.3.2 脉冲声的脉冲宽度应足够小,应保证声音在该宽度时间内传播的距离小于房间长、宽、高中最小尺寸的1/2。

3.3.3 测量声源信号可使用扬声器发出的最大长度脉冲序列信号、线性调频信号。扬声器指向性和频率特性应符合国家标准《声学 建筑和建筑构件隔声测量 第3部分:建筑构件空气声隔声的实验室测量》GB/T 19889.3-2005中第C.1.3条的规定。

3.4 传声器和滤波器

3.4.1 混响时间测试应使用全指向性传声器,直径不宜大于13mm。当传声器为压力场响应型或已配置平直频率响应无规入射校正器的自由场响应型时,其直径可放宽至26mm。传声器应符合现行国家标准《电声学 声级计 第1部分:规范》GB/T 3785.1-2010中1型的规定。

3.4.2 滤波器可使用模拟滤波器或数字滤波器,倍频程或1/3倍频程的频带要求,应符合现行国家标准《电声学 倍频程和分数倍频程滤波器》GB/T 3241的有关规定。

3.4.3 测量用滤波器应符合下列要求:
    1 中断声源法,B·T>8且T>Tdet;
    2 脉冲响应积分法B·T>4且T>Tdet/4。
    注:T为测量的混响时间,B为滤波器带宽,Tdet为滤波器和测量系统电混响时间。

3.5 声记录设备

3.5.1 声衰变过程或脉冲响应,可采用模拟型或数字型声记录设备记录。

3.5.2 声记录设备应完整记录声衰变过程和脉冲响应,衰变前和结束后多记录的时间,均不宜少于2s。

3.5.3 声记录设备不得使用有任何自动增益控制或其他抑制信噪比的电子控制。采用数字声记录设备,应是对声压变化曲线直接采样后的数据,不得采用任何压缩编码处理器。

3.5.4 声记录设备在测量的频带内频率特性容差不应超过±3dB。

3.5.5 在每个被测频带,声记录设备的动态范围内应大于50dB。

3.5.6 声记录设备回放速度应等于记录速度,误差为±2%以内。

3.6 声级计和声压级记录仪

3.6.1 使用中断声源法测量时,应将传声器接收的或声记录设备回放的电信号经滤波后传入声级计或传入声压级记录仪,进而得到声压级衰变曲线。使用脉冲响应积分法测量时,应将传声器接收的或声记录设备回放的电信号经滤波后得到的脉冲响应声压曲线,再进行平方积分后得到声压级衰变曲线。

3.6.2 声压级衰变曲线的记录方式可为记录仪绘制的连续曲线,也可为数字化声级计记录的一系列离散采样点。声级计和声压级记录仪的时间常数应小于且接近于在测量频带范围内混响时间的1/20,且不应大于0.25s。记录声压级离散点采样的数字设备,各点时间间隔应小于声级计时间常数的1.5倍。测量时,记录设备应随时进行时间刻度调整,视觉上衰变曲线斜率宜为45°。

3.6.3 中断声源法测量时,宜把声级计时间常数设成不同的值以适应不同频带。采用粉红噪声源通过滤波同时获取各频带的声压级衰变曲线时,时间常数和采样间隔的确定应以测量频带范围内最短的混响时间为准。

3.6.4 声级计或声压级记录仪应具有信号过载指示。

.

4 测量方法


4.1 测量频率

4.1.1 测量混响时间的频率应符合下列规定:
    1 不应少于125Hz、250Hz、500Hz、1000Hz、2000Hz、4000Hz等倍频程中心频率。
    2 作为文艺演出类厅堂、电影院音质验收时,宜加测倍频程中心频率63Hz和8000Hz。

4.1.2 采用1/3倍频程测量混响时间时,不宜少于100Hz、125Hz、160Hz、200Hz、250Hz、315Hz、400Hz、500Hz、630Hz、800Hz、1000Hz、1250Hz、1600Hz、2000Hz、2500Hz、3150Hz、4000Hz、5000Hz等1/3倍频程中心频率。

4.2 声源位置

4.2.1 用于降噪计算和扩声系统计算的混响时间测量时,声源应选择有代表性的位置,并应在检测报告中说明声源位置。

4.2.2 用于演出型厅堂音质验收的混响时间测量时,在有大幕的镜框式舞台上,声源位置应选择在舞台中轴线大幕线后3m、距地面1.5m处;在非镜框式或无大幕的舞台上,声源位置应选择在舞台中央、距地面1.5m处。在舞台区域和演奏者可能出现的区域,宜增加其他声源的位置。不同声源位置间距不宜小于3m。舞台防火幕不能升起时,可将声源移至观众厅一侧,声源中心位置应选择在舞台中轴线距防火幕大于1.5m处,并应在报告中说明声源位置。

4.2.3 用于非表演型且无舞台的房间为音质考察而进行混响时间测量时,声源宜置于房间的某顶角,且距离三个界面均宜大于0.5m。

4.2.4 用于麻豆传播媒体APP大全免费版馆混响时间验收测量时,声源宜置于场内中央、距地面1.5m处;用于测量电声系统时,应采用场内扩声系统扬声器作为替代声源,扬声器工况要求应处于正常使用状态或比赛使用状态。

4.3 传声器位置

4.3.1 传声器应根据听众的耳朵高度确定,宜置于地面以上1.2m处。出现前排座椅遮挡传声器时,可将传声器升高至高于前排椅背0.15m的位置,但报告中应说明传声器的高度。

4.3.2 用于降噪计算和扩声系统计算的混响时间测量时,应在房间人员主要活动区域或听众区域均匀布置传声器测点,应至少选择3个位置。

4.3.3 用于演出型厅堂音质验收的混响时间测量时,传声器位置宜在听众区域均匀布置。房间平面为轴对称型且房间内表面装修及声学构造沿轴向对称时,传声器位置可在观众区域偏离纵向中心线1.5m的纵轴上及一侧内的半场中选取。一层池座满场时不应少于3个,空场时不应少于5个,并应包括池座前部1/3区域、眺台下和边侧的座席;每层楼座区域的测点,不宜少于2个;舞台上测点不宜少于2个(图4.3.3)。房间为非轴对称型时,测点宜相应增加一倍。

1室内混响时间测量规范 GB/T50076-2013

4.3.4 用于非表演型且无舞台的房间,对其音质作考察而进行混响时间测量时,传声器测点位置宜置于与声源所在房间对角线交叉的另一条对角线上,应至少3个位置,并应均匀布置(图4.3.4)。房间尺寸较小,且无法满足本规范第4.3.6条的规定时,可减少传声器测点数量。

2室内混响时间测量规范 GB/T50076-2013

4.3.5 用于麻豆传播媒体APP大全免费版馆混响指标验收测量,房间为轴对称型时,可选择在对称象限内的观众区布置传声器位置,满场时不宜少于6个,空场时不宜少于9个,并应均匀布置;房间为非轴对称型时,测点宜按倍数相应增加。

4.3.6 传声器位置的最小间距不宜小于2m,从传声器至最近反射面的距离不宜小于1.2m。

4.3.7 传声器位置不宜靠近声源,最小距离dmin可按下式计算:

3室内混响时间测量规范 GB/T50076-2013

式中:dmin——传声器与声源最小距离,m;
           V——房间容积,m³;
           c——声速,m/s;
           T——估计混响时间,s。

4.3.8 混响时间短的小房间,且无法满足本规范第4.3.7条的规定时,在声源和传声器之间应设置屏障消除直达声,屏障密度宜大于5kg/㎡,表面吸声系数宜小于0.1,面积宜大于1.5㎡。

4.4 脉冲响应积分法获得衰变曲线

4.4.1 测量声源可使用脉冲声源发声、使用传声器接收,直接获得脉冲响应;也可使用扬声器发出最大长度序列信号、线性调频信号等,使用传声器接收,通过相关运算获得脉冲响应。

4.4.2 脉冲响应通过带通滤波器,平方后反向积分得出各个频带的衰变曲线。在背景噪声极低时,混响衰变曲线应按下式计算:

4室内混响时间测量规范 GB/T50076-2013

式中:p——脉冲响应声压。

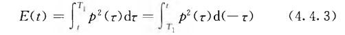
4.4.3 存在背景噪声,且脉冲峰值声压级超过背景噪声基线大于等于50dB以上时,可不计背景噪声的影响,反向积分的起始点可设在脉冲响应声压级曲线高于背景噪声基线15dB处。混响衰变曲线可按下式计算:

5室内混响时间测量规范 GB/T50076-2013

式中:T1——脉冲响应声压级曲线高于背景噪声基线15dB处的时刻,t<T1。

4.4.4 脉冲峰值声压级超过背景噪声基线小于50dB以下,且背景噪声基线声压级已知时,应以背景噪声基线和脉冲响应声压级衰变曲线的交点作为反向积分的起始点,混响衰变曲线可按下式计算:

6室内混响时间测量规范 GB/T50076-2013

式中:t1——背景噪声基线和脉冲响应声压级衰变曲线交点处的时刻,t<t1;
          C——去除噪声干扰的真实脉冲响应平方值从无穷大到t1的积分。

4.4.5 在背景噪声级未知时,可使用一个可变的修正积分时间对脉冲响应的平方进行反向积分,修正积分时间可取混响时间估值的1/5,可按下式计算:

7室内混响时间测量规范 GB/T50076-2013

式中:T0——修正积分时间。

4.4.6 每个测点位置可测量一次,结果对多个测点的混响时间应取算术平均值。

4.5 中断声源法获得衰变曲线

4.5.1 中断声源法应使用扬声器发出窄带噪声信号或粉红噪声信号激励房间待声场稳定后突然中断,应使用具有记录功能的声级计或声记录设备直接获得声压级衰变曲线。

4.5.2 容积为15000m³以下的房间,声源持续时间应大于4s。15000m³以上的房间,声源持续时间应大于6s。

4.5.3 每个测量位置应测量三次,宜测量六次,应取混响时间的算术平均值。

4.6 使用衰变曲线计算混响时间

4.6.1 在衰变曲线衰变范围内,应画一条与其重合的直线。

4.6.2 作为混响时间的测量结果时,应计算T30,条件不许可时,可计算T20作为混响时间的替代测量结果,并应在测量报告中进行说明。

4.6.3 衰变曲线起始部分应高于背景噪声的水平。计算T20时,噪声水平应至少低于曲线的起始点35dB;计算T30时,噪声水平应至少低于起始点45dB。衰变曲线末端应至少高于背景噪声10dB。

4.6.4 当衰变曲线不呈直线形状而呈两段折线时,应建立一个适当的拐点连接两段轨迹(图4.6.4),应计算上下两段的斜率进而推算各自的混响时间,并应在报告中指明其动态区间。用于求斜率的A动态区间和B动态区间声压级衰变量不应少于10dB。

9室内混响时间测量规范 GB/T50076-2013

4.7 空间平均

4.7.1 空间平均的方法应为各测点测量值的算术平均。

4.7.2 普通矩形房间,应对所有声源和传声器测量位置所得到的测量结果进行平均计算。计算结果应作为该房间的平均混响时间。

4.7.3 剧场、多功能厅等存在舞台或楼座的空间,宜分别对舞台、一层观众席(池座)、各层楼座所布置的测点分别进行平均计算。计算结果应作为各区域的空间平均混响时间。

4.7.4 测量原始记录应精确到小数点后两位数字。作为测量结果的平均值应四舍五入,小于等于1s时,应取小数点后2位数字;大于1s时,应取小数点后1位数字。

.

5 结果的表达


5.1 图表及曲线

5.1.1 每个测量位置及各测量中心频率的混响时间的多次测量结果平均值,应使用表格列出,不同区域应单独列表,并应同时列出其空间平均值。测量结果列表应符合表5.1.1的规定。

10室内混响时间测量规范 GB/T50076-2013

5.1.2 每个区域空间平均混响时间频率响应应通过曲线图绘制(图5.1.2)。

11室内混响时间测量规范 GB/T50076-2013

5.1.3 绘制曲线图时,各个点应用直线连接。横坐标应为倍频程线性坐标,每个倍频程的距离宜为15mm,同时纵坐标宜使用每25mm相当于1s的线性时间坐标。在横坐标上应注明倍频程或1/3倍频程的中心频率。

5.1.4 具有两种或两种以上有声学条件变化的使用状态(包括可调混响设施)的房间,应将各种状态下的测量结果分别计算和表达。

5.2 检测报告

5.2.1 在检测报告中,应说明所依据的国家标准,并应符合本规范第5.2.2~5.2.15条的规定。

5.2.2 在检测报告中应注明测量房间的名称及地址。

5.2.3 在检测报告中应注明房间平面、剖面等示意图,并应包括声源、传声器位置。

5.2.4 在检测报告中应给出房间容积,房间不封闭时,应对房间的容积的定义进行说明。

5.2.5 对于有听众座椅的房间,应标明座椅的数量和类型。

5.2.6 在检测报告中应有房间墙面和顶棚的形式和材质的描述。

5.2.7 剧场、音乐厅、多功能厅以及报告厅等房间的检测报告,应对测量时彩排、空场、满场及在场观众的数量、演奏台和乐器布置状况进行相应说明。

5.2.8 在检测报告中应说明是否有可变混响设备、可变吸声装置、电子混响增强系统等。

5.2.9 在检测报告中应说明强奸乱伦麻豆防火帘幕和装饰帘幕升起或降下状态。

5.2.10 使用室内现有的扩声系统作为替代测量声源测量电声系统声源条件下的室内混响时间时,在测量报告中应包括下列内容:
    1 测量信号系统与扩声系统的连接;
    2 扩声系统是否含有何种有源电子混响效果设备;
    3 发声扬声器的布置图。

5.2.11 在检测报告中应说明是否有乐池的升降、是否有音乐反射罩等舞台陈设。

5.2.12 在检测报告中应记录测量期间房间的温度和相对湿度。

5.2.13 在检测报告中应对声源的类型进行说明。

5.2.14 在检测报告中应说明所使用的声源信号。

5.2.15 在检测报告中应说明所使用的测量仪器及测量框图。

5.2.16 在检测报告中应说明测量机构的名称、测量人员和测量日期。

本规范用词说明

1 为便于在执行本规范条文时区别对待,对要求严格程度不同的用词说明如下:
    1)表示很严格,非这样做不可的用词:
      正面词采用“必须”,反面词采用“严禁”;
    2)表示严格,在正常情况均应这样做的用词:
      正面词采用“应”,反面词采用“不应”或“不得”;
    3)表示允许稍有选择,在条件许可时首先应这样做的用词:
      正面词采用“宜”,反面词采用“不宜”;
    4)表示有选择,在一定条件下可以这样做的用词,采用“可”。

2 条文中指明应按其他有关标准执行的写法为:“应符合……的规定”或“应按……执行”。


  因篇幅有限请到资料下载   下载完整文件。

  还可以了解更多关于会议室解决方案、产品和案例 等信息。

  还可以了解更多关于麻豆传播媒体APP大全免费版场馆解决方案、产品和案例 等信息。

  还可以了解更多关于剧场强奸乱伦麻豆解决方案、产品和案例 等信息。

还可以了解更多关于学校教育   解决方案、产品和案例   等信息。


网站地图